Name: Pass: Sign In | Join Now | Ad Service | Member Service | Add to Favorite    中国化工制造网
Pharmaceutical Intermediates
Product List

Biclotymol

CAS:15686-33-6 Product spec:99% min
CAS No. 15686-33-6 Molecular Formula C21H26Cl2O2 Molecular Weight 381 Physical Appearance White Crystalline Powder Melting Point 125 – 130°C Moisture Content 0.5% max. Purity by GCHPLC 99..
Post Time:[2010-06-09 ]Aroni Chemicals Limited

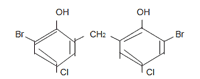
Bromochlorophene

CAS:15435-29-7 Product spec:98%
CAS No. 15435-29-7 Molecular Formula C13H8Br2Cl2O2 Molecular Weight 426.93 Physical Appearance WHITE TO YELLOWISH, FINE CRYSTALLINE POWDER. Odour SLIGHT PHENOLIC ODOUR Melting Point 188 – ..
Post Time:[2010-06-09 ]Aroni Chemicals Limited

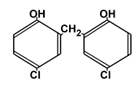
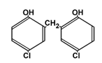
DICHLOROPHENE

CAS:97-23-4 Product spec:98%
CAS No. 97-23-4 Molecular Formula C13H10O2CI2 Molecular Weight 269.14 Physical Appearance White to slightly tan coloured powder Melting Point 170 – 174oC Purity by GC 98% Para Chloro Phe..
Post Time:[2010-06-09 ]Aroni Chemicals Limited

Ortho Benzyl Para Chloro Phenol (OBPCP)

CAS:120-32-1 Product spec:98%
CAS No. 120-32-1 Molecular Formula C13H11OCI Molecular Weight 218.5 Physical Appearance Off White to Light Yellow Coloured Solid flakes Melting Point 45 - 47oC Purity by GC 98% min. Boil..
Post Time:[2010-06-09 ]Aroni Chemicals Limited

Para Chloro Meta Xylenol 4-Chloro-3,5-Xylenol

CAS:88-04-0 Product spec:99%
CAS No. 88-04-0 Molecular Formula C8H9OCl Molecular Weight 156.5 Physical Appearance WHITE TO CREAM COLOURED SOLID Melting Point 114 – 116ºC Purity by GC 99% min. MO..
Post Time:[2010-06-09 ]Aroni Chemicals Limited

Chloro Cresol / Para Chloro Meta Cresol – BP

CAS:59-50-7 Product spec:98%
CAS NO. 59-50-7 MOLECULAR FORMULA C7H7OCl MOLECULAR WEIGHT 142.5 PHYSICAL APPEARANCE WHITE CRYSTALLINE POWDER SOLUBILITY SOLUBLE IN WATER, VERY SOLUBLE IN ALCOHOL, FREELY SOLUBLE IN ETHER AND..
Post Time:[2010-06-09 ]Beyond Chemicls (India)PVt.Ltd

Dichlorophene BP - 2007

CAS:97-23-4 Product spec:99% MIN
CAS NO. 97-23-4 MOLECULAR FORMULA C13H10O2CI2 MOLECULAR WEIGHT 269.1 PHYSICAL APPEARANCE WHITE OR NOT MORE THAN SLIGHTLY CREAM POWDER SOLUBILITY PRACTICALLY INSOLUBLE IN WATER VERY SOLUBLE IN ..
Post Time:[2010-06-09 ]Beyond Chemicls (India)PVt.Ltd

2,3,4-Trihydroxybenzaldehyde

CAS:2144-08-3 Product spec:99%min
MF: C7H6O4 MW: 154.12 CAS : 2144-08-3 EINECS : 218-404-2 MP:159-162 ºC
Post Time:[2010-06-09 ]P.I. DRUGS & PHARMACEUTICALS LTD.

Diclofenac Sodium IP / BP

CAS: Product spec:99%
MOLECULAR FORMULA C14H10CI2NNaO2 MOLECULAR WEIGHT 318 PHYSICAL APPEARANCE A WHITE TO SLIGHT YELLOWISH CRYSTALLINE POWDER SOLUBILITY SPARINGLY SOLUBLE IN WATER, FREELY SOLUBLE IN METHANOL ALCOHO..
Post Time:[2010-06-09 ]Beyond Chemicls (India)PVt.Ltd

2-Methyl Anisole

CAS:578-58-5 Product spec:99% MIN
CAS NO. 578-58-5 MOLECULAR FORMULA C8H10O MOLECULAR WEIGHT 122 PHYSICAL APPEARANCE COLOURLESS TO LIGHT YELLOW CLEAR LIQUID. BOILING POINT AT 760 mmHg 170-172oC DENSITY AT 20oC 0.985 MOISTU..
Post Time:[2010-06-09 ]Beyond Chemicls (India)PVt.Ltd