Name: Pass: Sign In | Join Now | Ad Service | Member Service | Add to Favorite    中国化工制造网
Pharmaceutical Intermediates
Product List

2-Phosphonobutane -1,2,4-Tricarboxylic Acid

CAS:37971-36-1 Product spec:49%-51%
PBTCA has low content of phosphoric, has structural features of both phosphoric acid and carboxylic acid group, which enable its excellent scale and corrosion inhibition properties. Its antiscale prop..

1-Hydroxy Ethylidene-1,1-Diphosphonic Acid

CAS:2809-21-4 Product spec:90%
HEDP is an organophosphoric acid corrosion inhibitor. It can chelate with Fe, Cu, and Zn ions to form stable chelating compounds.It can dissolve the oxidized materials on these metals’ surfaces. HEDP ..

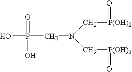
Amino Trimethylene Phosphonic Acid (ATMP)

CAS:6419-19-8 Product spec:95%
ATMP has excellent chelation, low threshold inhibition and lattice distortion ability. It can prevent scale formation, calcium carbonate in particular, in water system. ATMP has good chemical stabilit..

1,3-Dichloropropane

CAS:142-28-9 Product spec:99
CAS#:142-28-9 Structural formula: ClCH2CH2CH2Cl Physical property: Colorless transparent liquid. boiling point:124.0oC,Density: 20oC)1.1896,index of refraction(20oC):1.4481,Flash point:32oC,Sol..
Post Time:[2010-12-28 ]Zouping Mingxing Chemical Co.,Ltd

1,3-Propanediol

CAS:504-63-2 Product spec:min.99%
CAS#:504-63-2 Structural formula: HOCH2CH2CH2OH Physical property: Colorless or sallow stiff transparent liquid, of hydroscopic property. Melting point:27oC,boiling point:210-212oC,flashing po..
Post Time:[2010-12-28 ]Zouping Mingxing Chemical Co.,Ltd

3-bromopropene

CAS:106-95-6 Product spec:99%
3-bromopropene CAS#: 106-95-6 English Name: 3-bromopropene Synonyms: allyl bromide, bromoallylene, 3-bromo-1-propene Molecular formula: H2CCHCH2Br Molecular Weight:120.99 Appearance: colourle..
Post Time:[2010-12-28 ]Zouping Mingxing Chemical Co.,Ltd

1-Chloro-6-hydroxyhexane

CAS:2009-83-8 Product spec:min.97%
CAS#:2009-83-8 tructural formula:C8H13CLO Physical property: Colorless or isabelline thich transparent liquid, has water absorption. Boiling point:108-112oC, flash point:98 oC, density (20 oC):1..
Post Time:[2010-12-28 ]Zouping Mingxing Chemical Co.,Ltd

Adenosine 5’-Triphosphate sodium salt

CAS:987-65-5 Product spec:98%
Name: Adenosine 5’-Triphosphate, sodium salt Molecular formula: C10H13N5O13P3Na3 M W: 573.1 (acid form: 507.2) C A S: 987-65-5 Purity: ≥98% by HPLC DNase, RNase: none detected P..

2’-Deoxyadenosine 5’-Triphosphate sodium salt

CAS:1927-31-7 Product spec:99%
Name: 2’-Deoxyadenosine 5’-Triphosphate, sodium salt Molecular formula: C10H12N5O12P3Na3 M W: 557.2 (acid form: 491.2) C A S: 1927-31-7 Purity: ≥99% by HPLC DNase, RNase: none det..

N-Acetyl-2'-deoxy-5'-O-DMT-D-cytidine

CAS:100898-63-3 Product spec:98%
Name: N4-Acetyl-2'-deoxy-5'-O-DMT-D-cytidine Molecular formula: C32H33N3O7 M W: 571.62 C A S: 100898-63-3 Purity: ≥98% by HPLC Appearance: White Packing: 25g,50g,100 g,500 g,..