Home
|
Product
|
Equipment
|
Companies
|
Custom
|
Marketing
Sign In
Join Now
Current Position :
Home
>
CAS
>
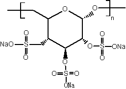
Sodium dextran sulfate 500,000
Sodium dextran sulfate 500,000
Product Name
Sodium dextran sulfate 500,000
CAS
9011-18-1
Molecular Formula
(C
6
H
7
Na
3
O
14
S
3
)n
Molecular Weight
-
Molecular Structure
EINECS
-
InChI
-
Melting Point
-
Flash Point
-
Vapor Pressure
-
Density
-
Safety Description
Risk Description :
-
Recommended Supplier
Only $20 a year you can display here.
Tel : 025 - 86816800
About us
-
Contact us
-
Service
-
Join Agent
-
Message
Copyright © ChemMade