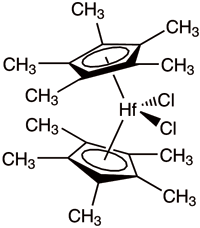
Bis(pentamethylcyclopentadienyl)hafnium dichloride
- Molecular Formula
- C20H30Cl2Hf
- Molecular Weight
- 519.8482
- Molecular Structure

- InChI
- InChI=1/2C10H15.2ClH.Hf/c2*1-7-6-10(4,5)9(3)8(7)2;;;/h2*1-5H3;2*1H;/q;;;;+2/p-2/rC20H30Hf.2ClH/c1-11-13(3)17(19(7,8)15(11)5)21-18-14(4)12(2)16(6)20(18,9)10;;/h1-10H3;2*1H/q+2;;/p-2
- Safety Description
- S26:In case of contact with eyes, rinse immediately with plenty of water and seek medical advice.;
S36/37/39:Wear suitable protective clothing, gloves and eye/face protection.;
- Risk Description :
- R20/21/22:Harmful by inhalation, in contact with skin and if swallowed.;
R36/37/38:Irritating to eyes, respiratory system and skin. Irritating to eyes, respiratory system and skin.;
Recommended Supplier
Only $20 a year you can display here.
Tel : 025 - 86816800