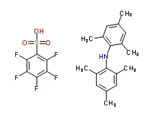
Dimesitylammonium Pentafluorobenzenesulfonate
- Molecular Formula
- C24H24F5NO3S
- Molecular Weight
- 501.5093
- Molecular Structure

- InChI
- InChI=1/C18H23N.C6HF5O3S/c1-11-7-13(3)17(14(4)8-11)19-18-15(5)9-12(2)10-16(18)6;7-1-2(8)4(10)6(15(12,13)14)5(11)3(1)9/h7-10,19H,1-6H3;(H,12,13,14)
- Vapor Pressure
- 1.6E-05mmHg at 25°C
Recommended Supplier
Only $20 a year you can display here.
Tel : 025 - 86816800