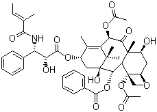
- Molecular Formula
- C45H53NO14
- Molecular Weight
- 831.9006
- Molecular Structure

- InChI
- InChI=1/C45H53NO14/c1-9-23(2)39(52)46-33(27-16-12-10-13-17-27)34(50)41(54)58-29-21-45(55)38(59-40(53)28-18-14-11-15-19-28)36-43(8,30(49)20-31-44(36,22-56-31)60-26(5)48)37(51)35(57-25(4)47)32(24(29)3)42(45,6)7/h9-19,29-31,33-36,38,49-50,55H,20-22H2,1-8H3,(H,46,52)/b23-9+/t29-,30-,31+,33-,34+,35+,36-,38-,43+,44-,45+/m0/s1
- Vapor Pressure
- 0mmHg at 25°C
Recommended Supplier
Only $20 a year you can display here.
Tel : 025 - 86816800