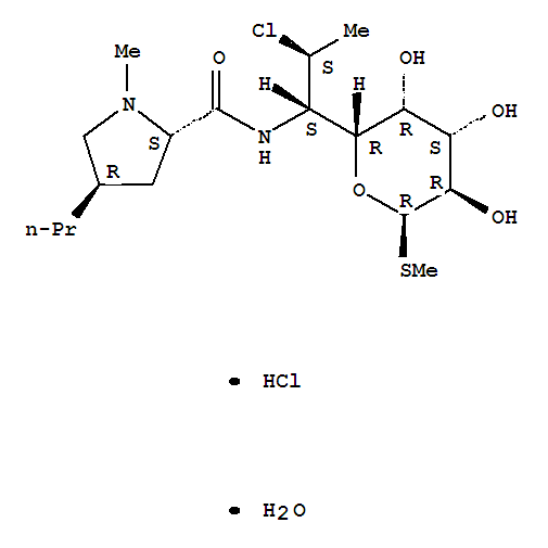
- Molecular Formula
- C18H34Cl2N2O5S
- Molecular Structure

- InChI
- InChI=1/C18H33ClN2O5S.ClH/c1-5-6-10-7-11(21(3)8-10)17(25)20-12(9(2)19)16-14(23)13(22)15(24)18(26-16)27-4;/h9-16,18,22-24H,5-8H2,1-4H3,(H,20,25);1H/t9?,10-,11+,12?,13+,14-,15?,16?,18?;/m1./s1
Recommended Supplier
Only $20 a year you can display here.
Tel : 025 - 86816800