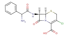
- Molecular Formula
- C16H16ClN3O4S
- Molecular Weight
- 381.8339
- Molecular Structure

- InChI
- InChI=1/C16H16ClN3O4S/c1-16-12(19-13(21)10(18)8-5-3-2-4-6-8)14(22)20(16)11(15(23)24)9(17)7-25-16/h2-6,10,12H,7,18H2,1H3,(H,19,21)(H,23,24)/t10-,12-,16+/m1/s1
- Vapor Pressure
- 3.82E-20mmHg at 25°C
- Safety Description
- S22:Do not breathe dust.
S36/37:Wear suitable protective clothing and gloves.
S45:In case of accident or if you feel unwell, seek medical advice immediately (show the label whenever possible.)
- Risk Description :
- R42/43:May cause sensitization by inhalation and skin contact.
Recommended Supplier
Only $20 a year you can display here.
Tel : 025 - 86816800