Home
|
Product
|
Equipment
|
Companies
|
Custom
|
Marketing
Sign In
Join Now
Current Position :
Home
>
CAS
>
Lithocholic Acide
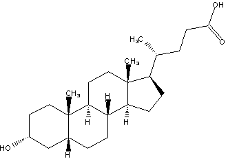
Lithocholic Acide
Product Name
Lithocholic Acide
CAS
434-13-9
Molecular Formula
C
24
H
40
O
3
Molecular Weight
376.57
Molecular Structure
EINECS
-
InChI
-
Melting Point
-
Flash Point
-
Vapor Pressure
-
Density
-
Safety Description
Risk Description :
-
Recommended Supplier
Only $20 a year you can display here.
Tel : 025 - 86816800
About us
-
Contact us
-
Service
-
Join Agent
-
Message
Copyright © ChemMade