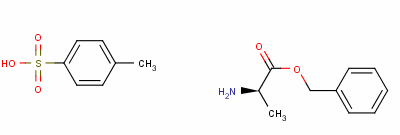
D-alanine benzyl ester*P-tolunesulfonate
- Molecular Formula
- C17H21NO5S
- Molecular Weight
- 351.4173
- Molecular Structure

- InChI
- InChI=1/C10H13NO2.C7H8O3S/c1-8(11)10(12)13-7-9-5-3-2-4-6-9;1-6-2-4-7(5-3-6)11(8,9)10/h2-6,8H,7,11H2,1H3;2-5H,1H3,(H,8,9,10)/t8-;/m1./s1
- Vapor Pressure
- 0.0154mmHg at 25°C
Recommended Supplier
Only $20 a year you can display here.
Tel : 025 - 86816800