Home
|
Product
|
Equipment
|
Companies
|
Custom
|
Marketing
Sign In
Join Now
Current Position :
Home
>
CAS
>
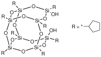
1,3,5,7,9,11-Octacyclopentyltetracyclo[7.3.3.15,11]octasiloxane-endo-3,7-diol
1,3,5,7,9,11-Octacyclopentyltetracyclo[7.3.3.15,11]octasiloxane-endo-3,7-diol
Product Name
1,3,5,7,9,11-Octacyclopentyltetracyclo[7.3.3.15,11]octasiloxane-endo-3,7-diol
CAS
352538-83-1
Molecular Formula
C
40
H
74
O
13
Si
8
Molecular Weight
987.69
Molecular Structure
EINECS
-
InChI
-
Melting Point
-
Flash Point
-
Vapor Pressure
-
Density
-
Safety Description
Risk Description :
-
Recommended Supplier
Only $20 a year you can display here.
Tel : 025 - 86816800
About us
-
Contact us
-
Service
-
Join Agent
-
Message
Copyright © ChemMade