Home
|
Product
|
Equipment
|
Companies
|
Custom
|
Marketing
Sign In
Join Now
Current Position :
Home
>
CAS
>
Formothion
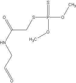
Formothion
Product Name
Formothion
CAS
2540-82-1
Molecular Formula
C
6
H
12
NO
4
PS
2
Molecular Weight
257.27
Molecular Structure
EINECS
-
InChI
-
Melting Point
-
Flash Point
-
Vapor Pressure
-
Density
-
Safety Description
S26 S36
Risk Description :
R10 R20/21/22 R36/38
Recommended Supplier
Only $20 a year you can display here.
Tel : 025 - 86816800
About us
-
Contact us
-
Service
-
Join Agent
-
Message
Copyright © ChemMade