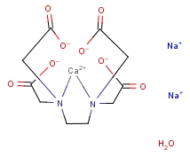
Calcium disodium edetate dihydrate
- Molecular Formula
- C10H14CaN2Na2O9
- Molecular Weight
- 392.2837
- Molecular Structure

- InChI
- InChI=1/C10H16N2O8.Ca.2Na.H2O/c13-7(14)3-11(4-8(15)16)1-2-12(5-9(17)18)6-10(19)20;;;;/h1-6H2,(H,13,14)(H,15,16)(H,17,18)(H,19,20);;;;1H2/q;+2;2*+1;/p-4
- Vapor Pressure
- 1.15E-16mmHg at 25°C
Recommended Supplier
Only $20 a year you can display here.
Tel : 025 - 86816800