Home
|
Product
|
Equipment
|
Companies
|
Custom
|
Marketing
Sign In
Join Now
Current Position :
Home
>
CAS
>
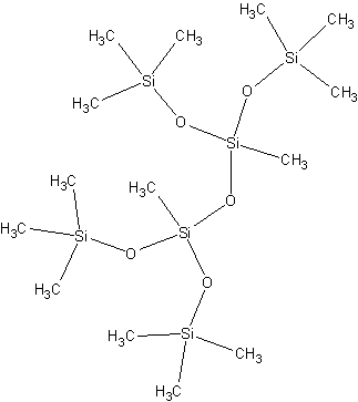
1,1,1,3,5,7,7,7-Octamethyl-3,5-bis(trimethylsilanyloxy)tetrasiloxane
1,1,1,3,5,7,7,7-Octamethyl-3,5-bis(trimethylsilanyloxy)tetrasiloxane
Product Name
1,1,1,3,5,7,7,7-Octamethyl-3,5-bis(trimethylsilanyloxy)tetrasiloxane
CAS
2003-92-1
Molecular Formula
O[Si[OSi(CH
3
)
3
]
2
CH
3
]
2
Molecular Weight
458.99
Molecular Structure
EINECS
-
InChI
-
Melting Point
-
Flash Point
-
Vapor Pressure
-
Density
-
Safety Description
Risk Description :
-
Recommended Supplier
Only $20 a year you can display here.
Tel : 025 - 86816800
About us
-
Contact us
-
Service
-
Join Agent
-
Message
Copyright © ChemMade