Home
|
Product
|
Equipment
|
Companies
|
Custom
|
Marketing
Sign In
Join Now
Current Position :
Home
>
CAS
>
Polyisoprene-graft-maleic acid monomethyl ester
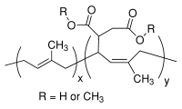
Polyisoprene-graft-maleic acid monomethyl ester
Product Name
Polyisoprene-graft-maleic acid monomethyl ester
CAS
128000-08-8
Molecular Formula
(C
5
H
8
)x(C
11
H
16
O
4
)y
Molecular Weight
-
Molecular Structure
EINECS
-
InChI
-
Melting Point
-
Flash Point
-
Vapor Pressure
-
Density
-
Safety Description
Risk Description :
-
Recommended Supplier
Only $20 a year you can display here.
Tel : 025 - 86816800
About us
-
Contact us
-
Service
-
Join Agent
-
Message
Copyright © ChemMade