Name: Pass: Sign In | Join Now | Ad Service | Member Service | Add to Favorite    中国化工制造网
Pharmaceutical Chemicals
Product List

Ursodeoxycholic Acid

CAS:128-13-2 Product spec:99%min
Ursodeoxycholic Acid (UDCA) Appearance: White or almost white crystallization powder Solubility: Almost insoluble in water, soluble in alcohol and in glacial acetic acid, slightly soluble in chlor..
Post Time:[2010-07-06 ]Qingdao Hitrust Imp&Exp Co., Ltd.

Chenodeoxycholic Acid (CDCA)

CAS:474-25-9 Product spec:98%min
Chenodeoxycholic Acid (CDCA) Appearance: White or yollowish crystallization powder, taste bitter Assay(HPLC): 85%min 98%min Moisture: 1.5%max Specific optical rotation: +11.0° - +13.0° For..
Post Time:[2010-07-06 ]Qingdao Hitrust Imp&Exp Co., Ltd.

Acetyl Salicylic Acid

CAS:50-78-2 Product spec:99.50-101.0%
Acetyl Salicylic Acid CAS: 50-78-2 Molecular formula: C9H8O4 Assay: 99.50-101.0% Clarity and color of solution: Clear and colorless Appearance: white crystal or crystalline powder
Post Time:[2010-07-06 ]JQC (Huayin) Pharmaceutical Co., Ltd.

Sodium Salicylate

CAS:54-21-7 Product spec:99%
Sodium Salicylate Molecular formula: C7H5NaO3 CAS: 54-21-7 Appearance: Colorless crystal or crystal powder or crystal slice. Assay: 99.0-101.0%
Post Time:[2010-07-06 ]JQC (Huayin) Pharmaceutical Co., Ltd.

Methyl Salicylate

CAS:119-36-8 Product spec:99%
Methyl Salicylate Molecular formula: C8H8O3 CAS: 119-36-8 Content: 99.0-100.5%
Post Time:[2010-07-06 ]JQC (Huayin) Pharmaceutical Co., Ltd.

Technical Salicylic Acid

CAS:69-72-7 Product spec:99%
Technical Salicylic Acid Molecular formula: C7H6O3 CAS: 69-72-7 Content: ≥99.00%
Post Time:[2010-07-06 ]JQC (Huayin) Pharmaceutical Co., Ltd.

Sublimed Salicylic Acid

CAS:69-72-7 Product spec:99%
Sublimed Salicylic Acid Molecular formula: C7H6O3 CAS: 69-72-7 Appearance: White cube and powder,pale pink is allowed. Assay: ≥99%
Post Time:[2010-07-06 ]JQC (Huayin) Pharmaceutical Co., Ltd.

Eucalyptol

CAS: Product spec:99%
Appearance:Colorless, transparent and clear liquid Odor:Aromatic and camphoraceous and strong cool odor Refractive Index: 1.4550-1.4600 Optical Rotation: -0.5���º to +0.5���º (20���º..
Post Time:[2010-07-06 ]GUYBRO CHEMICAL

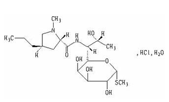
Lincomycin Hydrochloride

CAS: Product spec:inquire
Properties : white crystalline powder with little smell, bitter
Post Time:[2010-07-06 ]Anhui Wanbei Pharmaceutical Co., Ltd.

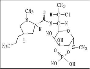
Clindamycin Phosphate

CAS:24729-96-2 Product spec:inguire
Chemical name : Methyl 7-chloro-6,7,8-trideoxy-6-(1-methyl-trans-4-propyl-L-2-pyrrolidinecarboxamido)-1-thio-L-threo-alpha-D-galacto-octopyranoside 2-(dihydrogen phosphate)
Post Time:[2010-07-06 ]Anhui Wanbei Pharmaceutical Co., Ltd.