Name: Pass: Sign In | Join Now | Ad Service | Member Service | Add to Favorite    中国化工制造网
Agrochemical Intermediates
Product List

Deltamethrin 98% TECH

CAS:52918-63-5 Product spec:98%
Name: Deltamethrin 98% TECH CAS No.: 52918-63-5 Formulation: 98% TECH Common Packing: 25kg paper barrel Advantage Area: East Europe, Middle East, South America and Africa There are many us..

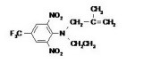
Ethalfluralin

CAS:55283-68-6 Product spec:98%TC
Ethalfluralin 98%TC Product Description Common name: Ethalfluralin (BSI, E-ISO, ANSI, WSSA) IUPAC name: N-ethyl-α , α , α -trifluoro-N-(2-methylallyl)-2, 6-dinitro-p-toluidine Molecular Form..
Post Time:[2010-06-24 ]Jiangsu Fengshan Group Co., Ltd.

Prodiamine

CAS:29091-21-2 Product spec:96% TC
Prodiamine 96% TC Product Description Common name: Prodiamine IUPAC name: 5-dipropylamino-α , α , α -trifluoro-4, 6-dinitro-o-toluidine; Molecular Formula: C13H17F3N4O4 Molecular Weight: 3..
Post Time:[2010-06-24 ]Jiangsu Fengshan Group Co., Ltd.

Trifluralin 95%Tc, 48%Ec

CAS:1582-09-8 Product spec:95%
Tech Specification: Apperance: Yellow Solid Content≥ 95% N-NITROSO-DI-N-PROPYLAMINE≤ 1.0ppm Acetone insoluble≤ 0.2% We, Jiangsu Fengshan Group Co., Ltd, are the largest manufacturer of Tri..
Post Time:[2010-06-24 ]Jiangsu Fengshan Group Co., Ltd.

Glyphosate (Herbicide & Weedicide)

CAS:81591-81-3 Product spec:95%
Glyphosate (95%TC, 75.7%WDG, 62%SL, 41%SL) Tech Specification: Apperance: White powder Content≥ 95% Formaldehyde≤ 0.8 gKg Nitroso-Glyphosate≤ 1.0ppm NaOH Insoluble substance≤ 0.2gkg Glyp..
Post Time:[2010-06-24 ]Jiangsu Fengshan Group Co., Ltd.

Calcium Hydroxide

CAS:1305-62-0 Product spec:99%min
Category: Agrochemicals CAS NO: 1305-62-0 EC NO: 215-137-3 MF: Ca(OH)2 MW: 74.09
Post Time:[2010-06-21 ]Frp Services & Company

Chlorpyrifos

CAS:2921-88-2 Product spec:99%
CAS NO : 2921-88-2 EC NO : 220-864-4 MF : C9H11Cl3NO3PS Main Specifications : 97%TC, 48%EC, 10%G Synonyms : O,O-diethyl O-3,5,6-trichloro-2-pyridyl phosphorothioate;ANSI;ISO;BSI;Dowco179;ENT27311;O,O-..
Post Time:[2010-06-21 ]ABCR Dr. Braunagel GmbH & Co. KG

2-Amino-4,6-dimethoxy-1,3,5-triazine

CAS:16370-63-1 Product spec:98%min
Category: Agrochemicals CAS NO: 16370-63-1 MF: C5H8N4O2 MW: 156.14 Synonyms: 4,6-DIMETHOXY-1,3,5-TRIAZIN-2-AMINE;2-Amino-4,6-dimethoxy-1,3,5-triazine 98%;1,3,5-TRIAZIN-2-AMINE,4,6-DIMETHOXY
Post Time:[2010-06-13 ]Beckmann Chemikalien KG

Aldehyde C16

CAS:77-83-8 Product spec:98%min
Category: Agrochemicals CAS NO: 77-83-8 EC NO: 201-061-8 MF: C12H14O3 MW: 206.24
Post Time:[2010-06-13 ]Beckmann Chemikalien KG

4-Aminobutyric acid

CAS:56-12-2 Product spec:98%min
Category: Agrochemicals CAS NO: 56-12-2 EC NO: 200-258-6 MF: C4H9NO2 MW: 103.12
Post Time:[2010-06-13 ]Beckmann Chemikalien KG